PyTorch 101
Introduction
PyTorch is an open-source Deep Learning library. It is a Pythonic successor to the Torch library, originally written in the Lua programming language.
It was developed by Facebook’s AI Research Lab (FAIR) in 2016. It quickly gained popularity because of its user-friendly interface and efficiency.
It also has GPU support and provides features for accelerated computation on GPUs. It’s just like NumPy but supports hardware acceleration and auto-differentiation. It offers efficient building blocks for deep learning like pre-trained models, loss functions, and optimizers.
It mainly has three core components:
- Tensor Library
- Autograd (Automatic Differentiation Engine)
- Deep Learning Library
Note: Deep Learning is a subset of machine learning which deals with the implementation of Deep Neural Networks.
Tensors
A tensor is the core data structure of PyTorch. They are NumPy-like arrays but with extra features. They can live on GPUs and support auto-differentiation. They are mathematical objects that can be characterized by their order (or rank), which provides the number of dimensions.
Similar to NumPy arrays, tensors can contain floats, integers, booleans, or complex numbers.
Note: Each tensor can only contain one data type.
Advantages:
- Without having to transfer data back and forth, we can perform multiple operations. To avoid performance bottlenecks, this is really crucial.
- Since GPUs work by breaking large operations into smaller ones and running them in parallel across multiple threads, it boosts performance.
Creating Tensors
We can create tensors like this:
import torch
# 0D tensor (scalar)
scalar = torch.tensor(5)
# 1D tensor (vector)
vector = torch.tensor([1, 2, 3])
# 2D tensor (matrix)
matrix = torch.tensor([[1, 2, 3], [4, 5, 6]])
# 3D tensor
tensor_3d = torch.tensor([
[
[1, 2, 3],
[4, 5, 6]
],
[
[7, 8, 9],
[10, 11, 12]
]
])
Tensor Data Types
print(f"scalar: {scalar.dtype}"
f" | vector: {vector.dtype}"
f" | matrix: {matrix.dtype}"
f" | tensor_3d: {tensor_3d.dtype}")
Output:
scalar: torch.int64 | vector: torch.int64 | matrix: torch.int64 | tensor_3d: torch.int64
PyTorch tensors have a default datatype of int64. Let’s look at floats:
float_tensor = torch.tensor(1.0)
float_tensor.dtype
Output:
torch.float32
Floating-point tensors have a default data type of float32. 64-bit precision is computationally expensive. 32-bit precision is sufficient and consumes less memory and computational resources than 64-bit.
We can change data types of tensors using the .to() method.
float_vector = vector.to(torch.float32)
print(float_vector)
Output:
tensor([1., 2., 3.])
Tensor Operations
Now, we’ll see some common tensor operations. We’ll use torch.rand/torch.arange to generate an array. .rand() will initialize float32 values.
Reshaping Tensors
torch.manual_seed(42)
random_tensor = torch.rand(12)
random_tensor
Output:
tensor([0.8823, 0.9150, 0.3829, 0.9593, 0.3904, 0.6009, 0.2566, 0.7936, 0.9408,
0.1332, 0.9346, 0.5936])
We can simply use the .reshape() method to reshape the tensor.
matrix_4x3 = random_tensor.reshape(4, 3) # this will reshape array into a 4 x 3 two-dimensional tensor.
matrix_4x3
Output:
tensor([[0.8823, 0.9150, 0.3829],
[0.9593, 0.3904, 0.6009],
[0.2566, 0.7936, 0.9408],
[0.1332, 0.9346, 0.5936]])
You can also use .view() to do the same.
matrix_view = random_tensor.view(4, 3)
matrix_view
Output:
tensor([[0.8823, 0.9150, 0.3829],
[0.9593, 0.3904, 0.6009],
[0.2566, 0.7936, 0.9408],
[0.1332, 0.9346, 0.5936]])
Matrix Multiplication
matrix_4x3.shape
Output:
torch.Size([4, 3])
We can multiply matrix_4x3 with a matrix of shape ([3, 4]). We’ll take a transpose of the same array.
matrix_transposed = matrix_4x3.T # Transposing using T
matrix_transposed.shape
Output:
torch.Size([3, 4])
Now we can perform matrix multiplication between matrix_4x3 and matrix_transposed.
matrix_4x3.matmul(matrix_transposed)
# or matrix_4x3 @ matrix_transposed
Output:
tensor([[1.7622, 1.4337, 1.3127, 1.1999],
[1.4337, 1.4338, 1.1213, 0.8494],
[1.3127, 1.1213, 1.5807, 1.3343],
[1.1999, 0.8494, 1.3343, 1.2435]])
Indexing and Conversion
The indexing in PyTorch is the same as NumPy.
You can convert a tensor to a NumPy array like this:
sample_tensor = torch.tensor([1, 2, 3])
numpy_array = sample_tensor.numpy()
print(type(numpy_array))
Output:
<class 'numpy.ndarray'>
These were some of the common tensor operations in PyTorch. PyTorch’s tensor API is similar to NumPy—from slicing and reshaping to math operations like sum, mean, exp, and log.
You can learn more about Tensors: PyTorch Tensors
AutoGrad
One of PyTorch’s key features is that we don’t have to manually calculate gradients while doing backpropagation, which is the key algorithm for Neural Network training. PyTorch’s automatic differentiation engine is called Autograd.
Autograd simply means Automatic Gradients. It provides functions to compute gradients in dynamic computational graphs automatically. A computational graph is a directed graph which allows us to express mathematical expressions.
How does it work?
Autograd engine tracks every operation performed on tensors and constructs a computational graph in the background. Then by calling the grad function, we can compute the gradient of the loss with respect to model parameters.
We create a special tensor for which gradients need to be computed, which allows us to store and update the parameters during model training. It can be created by assigning requires_grad=True on initial values.
Example:
Let’s say we have a function $f(x) = 4x^2$ and its derivative $f’(x) = 8x$.
If $x = 4$, then $f’(4) = 32$. Now, let’s represent this in PyTorch:
x = torch.tensor(4.0, requires_grad=True)
f = 4 * (x**2)
# We use .backward() to compute gradient
f.backward()
print(x.grad)
Output:
tensor(32.)
- Here, we created a tensor
x, 4.0. Then we assignedrequires_grad=True; we told PyTorch that it’s a variable and now it will automatically keep track of all operations involving $x$. It is important because PyTorch must capture the computation graph in order to backpropagate and obtain the derivative of $f$ with regard to $x$. Here,xis the leaf node. f.backward(): this backpropagates the gradients through the computation graph, starting with $f$ and all the way back to $x$.- Lastly, we can execute
x.grad, which will give us the derivative of $f$ with respect tox. - So, $f’(4) = 32$
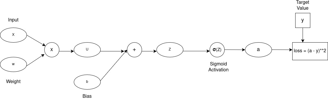
Now, we’ll look at a complex problem: building a simple logistic regression computational graph and computing gradients.
.jpg)
Figure 1: Computational graph showing forward pass
We compute the gradients using the Chain Rule. We’ll apply the chain rule from right to left, which is called reverse-mode automatic differentiation or backpropagation. We start from the loss and work backward through the network to the input layer.
To make our prediction as close as possible to the target value and minimize the error, we need to compute how loss changes with respect to each parameter and update these parameters during training.
\[\frac{\partial L}{\partial w} = \frac{\partial L}{\partial a} \times \frac{\partial a}{\partial z} \times \frac{\partial z}{\partial u} \times \frac{\partial u}{\partial w}\]Where:
- $\frac{\partial L}{\partial a} = 2(a - y)$ (derivative of squared error)
- $\frac{\partial a}{\partial z} = a(1 - a)$ (derivative of sigmoid)
- $\frac{\partial z}{\partial u} = 1$ (derivative of addition)
- $\frac{\partial u}{\partial w} = x$ (derivative of multiplication)
Therefore:
\[\frac{\partial L}{\partial w} = 2(a - y) \times a(1 - a) \times 1 \times x\]For the bias $b$:
\[\frac{\partial L}{\partial b} = \frac{\partial L}{\partial a} \times \frac{\partial a}{\partial z} \times \frac{\partial z}{\partial b}\]Where:
- $\frac{\partial L}{\partial a} = 2(a - y)$
- $\frac{\partial a}{\partial z} = a(1 - a)$
- $\frac{\partial z}{\partial b} = 1$ (derivative of addition)
Therefore:
\[\frac{\partial L}{\partial b} = 2(a - y) \times a(1 - a) \times 1\]But the good thing about PyTorch is that we don’t need to manually calculate the gradients and do backpropagation. We can just call loss.backward().
Here, we will call the backward method from the torch.autograd module. It will compute the sum of the gradients from right to left (terminal nodes) in the graph. Let’s represent this in PyTorch.
import torch
import torch.nn.functional as F
# Set seed for reproducibilty
torch.manual_seed(42)
# Initialize variables
x = torch.tensor(2.0)
w = torch.tensor(0.5, requires_grad=True) # requires_grad because we want to calculate the gradients
b = torch.tensor(1.0, requires_grad=True)
y = torch.tensor(1.0) # Our target value
## Forward pass (Like in Fig. 1)
U = w * x
z = U + b
a = torch.sigmoid(z) # sigmoid activation function to transform real-valued input to a value between 0 and 1
loss = (a - y) ** 2 # This will measure how far our value is from the target.
loss.backward() # Backward pass - compute all gradients
print(f"dL/dw: {w.grad:.4f}")
print(f"dL/db: {b.grad:.4f}")
Output:
dL/dw: -0.0501
dL/db: -0.0250
Now that we have got our gradients, it tells us that we need to increase (since gradients are negative) both w and b to reduce the loss and bring our predictions closer to the target.
In the following code sample, we’ll try to minimize the loss and take our prediction closer to the target value.
import torch
# Initialize
x = torch.tensor(2.0)
w = torch.tensor(0.5, requires_grad=True)
b = torch.tensor(1.0, requires_grad=True)
y = torch.tensor(1.0)
learning_rate = 1.0
# Training loop
for epoch in range(500):
# Forward pass
u = w * x
z = u + b
a = torch.sigmoid(z)
loss = (a - y) ** 2
# Backward pass
loss.backward()
# Update parameters (detach from graph)
with torch.no_grad():
# Stochastic Gradient Descent
w.data -= learning_rate * w.grad
b.data -= learning_rate * b.grad
# Zero gradients for next iteration
w.grad.zero_()
b.grad.zero_()
# Print every 20 epochs
if (epoch + 1) % 20 == 0:
print(f"Epoch {epoch+1}: Loss = {loss.item():.6f}, w = {w.item():.4f}, b = {b.item():.4f}")
print(f"\nFinal: a = {a.item():.4f}, target = {y.item()}")
Output:
Epoch 20: Loss = 0.002414, w = 0.8943, b = 1.1971
Epoch 40: Loss = 0.001270, w = 1.0242, b = 1.2621
Epoch 60: Loss = 0.000858, w = 1.1037, b = 1.3019
Epoch 80: Loss = 0.000646, w = 1.1610, b = 1.3305
Epoch 100: Loss = 0.000518, w = 1.2059, b = 1.3529
Epoch 120: Loss = 0.000432, w = 1.2427, b = 1.3714
Epoch 140: Loss = 0.000370, w = 1.2739, b = 1.3870
Epoch 160: Loss = 0.000324, w = 1.3010, b = 1.4005
Epoch 180: Loss = 0.000288, w = 1.3249, b = 1.4125
Epoch 200: Loss = 0.000259, w = 1.3463, b = 1.4232
Epoch 220: Loss = 0.000235, w = 1.3657, b = 1.4329
Epoch 240: Loss = 0.000216, w = 1.3834, b = 1.4417
Epoch 260: Loss = 0.000199, w = 1.3997, b = 1.4498
Epoch 280: Loss = 0.000185, w = 1.4148, b = 1.4574
Epoch 300: Loss = 0.000172, w = 1.4288, b = 1.4644
Epoch 320: Loss = 0.000161, w = 1.4420, b = 1.4710
Epoch 340: Loss = 0.000152, w = 1.4543, b = 1.4771
Epoch 360: Loss = 0.000143, w = 1.4659, b = 1.4830
Epoch 380: Loss = 0.000136, w = 1.4769, b = 1.4885
Epoch 400: Loss = 0.000129, w = 1.4874, b = 1.4937
Epoch 420: Loss = 0.000123, w = 1.4973, b = 1.4987
Epoch 440: Loss = 0.000117, w = 1.5068, b = 1.5034
Epoch 460: Loss = 0.000112, w = 1.5158, b = 1.5079
Epoch 480: Loss = 0.000107, w = 1.5245, b = 1.5122
Epoch 500: Loss = 0.000103, w = 1.5328, b = 1.5164
Final: a = 0.9899, target = 1.0
To get a perfect prediction of a = 1.0000, we would require more epochs or different hyperparameters, but our prediction a = 0.9899 ≈ 0.99 (very close to target 1.0).
That was it about Autograd!
Learn more: Autograd
Building a Simple Multilayer Perceptron in PyTorch
In PyTorch, nn.Module is the base class of all Neural Networks. As I mentioned in the introduction, it offers efficient building blocks of neural networks including Optimizers, Loss Functions, Normalization, etc. An MLP is a fully-connected Neural Network.
An MLP takes an input vector, pushes it through a stack of layers, and produces an output vector. Each layer transforms the input using:
- A weight matrix
- A bias vector
- A non-linear activation (like ReLU)
This pipeline of transformations lets neural networks learn complex patterns.
Let’s implement an MLP using nn.Module:
import torch
from torch import nn
class MLP(nn.Module):
# __init__: where we declare the layers
def __init__(self, input_dim, hidden_sizes, output_dim):
super().__init__()
layers = []
prev = input_dim
for h in hidden_sizes:
layers.append(nn.Linear(prev, h))
layers.append(nn.ReLU())
prev = h
layers.append(nn.Linear(prev, output_dim))
self.net = nn.Sequential(*layers)
# forward: how data flows through those layers
def forward(self, x):
return self.net(x)
nn.Linear- It is for linear transformation on incoming data. It’s a fundamental building block of neural networks.nn.ReLU- It is a non-linear activation function, where $f(x) = \max(0, x)$. It outputs the input directly if it’s positive and zero if it’s negative.nn.Sequential- A container module designed to simplify the construction of neural networks with a linear, sequential flow of layers.
# Now we can instantiate an MLP as follows:
model = MLP(input_dim=50, hidden_sizes=(32, 16), output_dim=3)
print(model) # To see the summary of the structure
Output:
MLP(
(net): Sequential(
(0): Linear(in_features=50, out_features=32, bias=True)
(1): ReLU()
(2): Linear(in_features=32, out_features=16, bias=True)
(3): ReLU()
(4): Linear(in_features=16, out_features=3, bias=True)
)
)
Now let’s count the trainable parameters:
params = sum(p.numel() for p in model.parameters() if p.requires_grad)
print("Trainable parameters:", params)
Output:
Trainable parameters: 2211
A short breakdown of parameter calculation:
- Layer 1: (50 × 32) + 32 bias = 1,632
- Layer 2: (32 × 16) + 16 bias = 528
- Layer 3: (16 × 3) + 3 bias = 51
And 1,632 + 528 + 51 = 2,211
Now, let’s do a forward pass:
torch.manual_seed(0)
x = torch.randn(1, 50)
logits = model(x)
print(logits)
Output:
tensor([[ 0.0535, -0.2287, 0.1101]], grad_fn=<AddmmBackward0>)
These raw outputs are called logits. To compute class-membership probabilities for our predictions, we have to call the softmax function:
probas = torch.softmax(logits, dim=1)
print(probas)
Output:
tensor([[0.3556, 0.2681, 0.3763]], grad_fn=<SoftmaxBackward0>)
They sum up to 1. They can now be interpreted as class-membership probabilities.
Note: A softmax is defined by the equation:
\[\text{softmax}(z_i) = \frac{e^{z_i}}{\sum_{j=1}^{n} e^{z_j}}\]Where $z_i$ is the output of neuron $i$ and $n$ is the total number of output neurons.
The main purpose behind using softmax is to convert raw output scores (logits) into probabilities that sum to 1.0, which is essential for multi-class classification where the model needs to predict which class an input belongs to.
Datasets and DataLoaders: Feeding Data to the Model
After defining a custom Multilayer Perceptron, we have to create efficient Datasets and DataLoaders. PyTorch has got us covered.
Dataset- It is used to instantiate objects that define how each data record is loaded and defines what a sample class looks like.DataLoader- It handles how the data is shuffled and batched during training.
Let’s create a tiny synthetic classification dataset to show how things work:
from torch.utils.data import Dataset
class TinyDataset(Dataset):
def __init__(self, X, y):
self.X = X
self.y = y
# Returns dataset size
def __len__(self):
return self.y.shape[0]
# Returns one (features, label) pair
def __getitem__(self, idx):
return self.X[idx], self.y[idx]
A Dataset must always implement __len__ and __getitem__.
Let’s create synthetic data:
torch.manual_seed(42)
X = torch.randn(20, 50) # 20 examples with 50 features
y = torch.randint(0, 3, (20,)) # 3 classes (0, 1, 2)
## Split train and test (16 train, 4 test)
X_train, y_train = X[:16], y[:16]
X_test, y_test = X[16:], y[16:]
train_ds = TinyDataset(X_train, y_train)
test_ds = TinyDataset(X_test, y_test)
Now, let’s create the DataLoaders.
from torch.utils.data import DataLoader
train_loader = DataLoader(
train_ds,
batch_size=4,
shuffle=True,
num_workers=0,
drop_last=False
)
test_loader = DataLoader(
test_ds,
batch_size=4,
shuffle=False,
num_workers=0
)
We’ve created our train and test dataloaders with a batch size of 4.
Training the Model
If you have installed GPU-compatible PyTorch and have a GPU available locally, you can train the model on GPU. It significantly boosts the model training process due to multiple cores. GPUs break large operations into smaller operations and run them in parallel across thousands of cores.
We perform multiple operations on GPU without having to transfer data back and forth between the CPU and GPU, which is crucial in deep learning because data transfer can often become a performance bottleneck.
Let’s start:
import torch.nn.functional as F # For the cross_entropy loss function
torch.manual_seed(42)
if torch.cuda.is_available():
device = "cuda"
else:
device = "cpu"
# Instantiate the model
model = MLP(input_dim=50, hidden_sizes=(32, 16), output_dim=3).to(device)
# Create an optimizer (Stochastic Gradient Descent with learning rate 0.1)
optimizer = torch.optim.SGD(model.parameters(), lr=0.1)
# Number of epochs (repetitions)
num_epochs = 500
for epoch in range(num_epochs):
model.train()
for batch_idx, (features, labels) in enumerate(train_loader):
# Transfer the data to the GPU
features, labels = features.to(device), labels.to(device)
logits = model(features) # Forward pass
loss = F.cross_entropy(logits, labels) # Compute loss
optimizer.zero_grad() # Reset gradients
loss.backward() # Compute gradients
optimizer.step() # Update parameters
if (epoch + 1) % 20 == 0:
print(f"Epoch {epoch+1}/{num_epochs} | "
f"Batch {batch_idx+1}/{len(train_loader)} | "
f"Loss: {loss.item():.4f}")
model.eval()
Output:
Epoch 20/500 | Batch 1/4 | Loss: 0.0255
Epoch 20/500 | Batch 2/4 | Loss: 0.1797
Epoch 20/500 | Batch 3/4 | Loss: 0.1097
Epoch 20/500 | Batch 4/4 | Loss: 0.0737
Epoch 40/500 | Batch 1/4 | Loss: 0.0175
Epoch 40/500 | Batch 2/4 | Loss: 0.0077
Epoch 40/500 | Batch 3/4 | Loss: 0.0090
Epoch 40/500 | Batch 4/4 | Loss: 0.0044
Epoch 60/500 | Batch 1/4 | Loss: 0.0054
Epoch 60/500 | Batch 2/4 | Loss: 0.0058
Epoch 60/500 | Batch 3/4 | Loss: 0.0036
Epoch 60/500 | Batch 4/4 | Loss: 0.0017
Epoch 80/500 | Batch 1/4 | Loss: 0.0014
Epoch 80/500 | Batch 2/4 | Loss: 0.0028
Epoch 80/500 | Batch 3/4 | Loss: 0.0041
Epoch 80/500 | Batch 4/4 | Loss: 0.0018
Epoch 100/500 | Batch 1/4 | Loss: 0.0025
Epoch 100/500 | Batch 2/4 | Loss: 0.0015
Epoch 100/500 | Batch 3/4 | Loss: 0.0013
Epoch 100/500 | Batch 4/4 | Loss: 0.0016
Epoch 120/500 | Batch 1/4 | Loss: 0.0013
Epoch 120/500 | Batch 2/4 | Loss: 0.0017
Epoch 120/500 | Batch 3/4 | Loss: 0.0007
Epoch 120/500 | Batch 4/4 | Loss: 0.0016
Epoch 140/500 | Batch 1/4 | Loss: 0.0010
...
Epoch 500/500 | Batch 1/4 | Loss: 0.0001
Epoch 500/500 | Batch 2/4 | Loss: 0.0002
Epoch 500/500 | Batch 3/4 | Loss: 0.0001
Epoch 500/500 | Batch 4/4 | Loss: 0.0003
Now, we’ll make predictions:
model.eval()
with torch.no_grad():
outputs = model(X_train.to(device))
print(outputs)
Output:
tensor([[ 6.6765, -2.7056, -4.8007],
[-3.0858, 6.2501, -3.8167],
[-2.6280, 5.5479, -3.4274],
[ 7.1114, -4.7180, -3.3552],
[-3.3177, -3.3236, 5.4029],
[-3.1010, 5.6211, -3.2381],
[-2.9912, -2.7274, 5.4758],
[-3.7930, -3.4510, 5.6622],
[ 5.6182, -3.0453, -3.6460],
[ 6.5617, -1.8531, -5.2582],
[-3.7446, 6.5740, -3.4922],
[ 6.4472, -5.0281, -2.5837],
[ 6.6230, -4.5307, -3.0591],
[-3.2225, 6.1563, -3.4949],
[ 6.5692, -5.4220, -2.4032],
[-3.9865, 6.6888, -3.4093]], device='cuda:0')
Now, convert the logits into probabilities like we did before:
torch.set_printoptions(sci_mode=False)
probas = torch.softmax(outputs, dim=1)
print(probas)
Output:
tensor([[0.9999, 0.0001, 0.0000],
[0.0001, 0.9999, 0.0000],
[0.0003, 0.9996, 0.0001],
[1.0000, 0.0000, 0.0000],
[0.0002, 0.0002, 0.9997],
[0.0002, 0.9997, 0.0001],
[0.0002, 0.0003, 0.9995],
[0.0001, 0.0001, 0.9998],
[0.9997, 0.0002, 0.0001],
[0.9998, 0.0002, 0.0000],
[0.0000, 0.9999, 0.0000],
[0.9999, 0.0000, 0.0001],
[0.9999, 0.0000, 0.0001],
[0.0001, 0.9999, 0.0001],
[0.9999, 0.0000, 0.0001],
[0.0000, 0.9999, 0.0000]], device='cuda:0')
Get the predicted class indices using argmax so that we can compare them with y_train:
preds = torch.argmax(outputs, dim=1)
print(preds)
Output:
tensor([0, 1, 1, 0, 2, 1, 2, 2, 0, 0, 1, 0, 0, 1, 0, 1], device='cuda:0')
preds == y_train.to(device)
Output:
tensor([True, True, True, True, True, True, True, True, True, True, True, True,
True, True, True, True], device='cuda:0')
Let’s check the correct number of predictions:
correct = torch.sum(preds == y_train.to(device))
print(correct.item())
Output:
16
All of the predictions are correct, so the accuracy should be 100%. Let’s verify that:
accuracy = correct.item() / len(y_train)
print("Accuracy:", accuracy)
Output:
Accuracy: 1.0
So, we have now successfully implemented the MLP, created a dummy dataset, built dataloaders, trained it, and achieved 100% accuracy.
Saving and Loading the Model
Now the last part: saving the model. We can save the model using torch.save(). state_dict is a Python dictionary object that maps each layer in the model to its trainable parameters (weights and biases). Whereas model.pth is an arbitrary filename; .pth and .pt are the most common conventions.
torch.save(model.state_dict(), "model.pth")
After saving the model, we can restore it like this:
model = MLP(input_dim=50, hidden_sizes=(32, 16), output_dim=3)
model.load_state_dict(torch.load("model.pth", weights_only=True))
Output:
<All keys matched successfully>
More Reading
Videos
Thank you!